EN500/EN600 adopts a 32-bit DSP hardware platform and advanced control algorithm. It can achieve PG closed-loop vector control and open-loop vector control without PG, supporting both speed vector and torque vector modes.
It quickly limits impact current and is widely used in high-end manufacturing. EN500/EN600 achieves high precision control, fast response speed, and excellent performance at low frequencies, featuring intelligent detection and robust protections.
The series offers extensive networking capabilities, rich peripheral bus expansion, terminal expansion, relay expansion, and analog expansion.
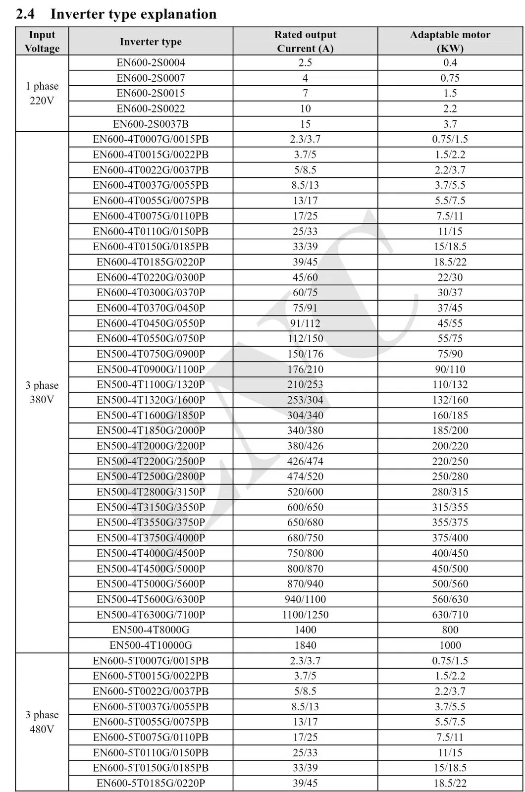
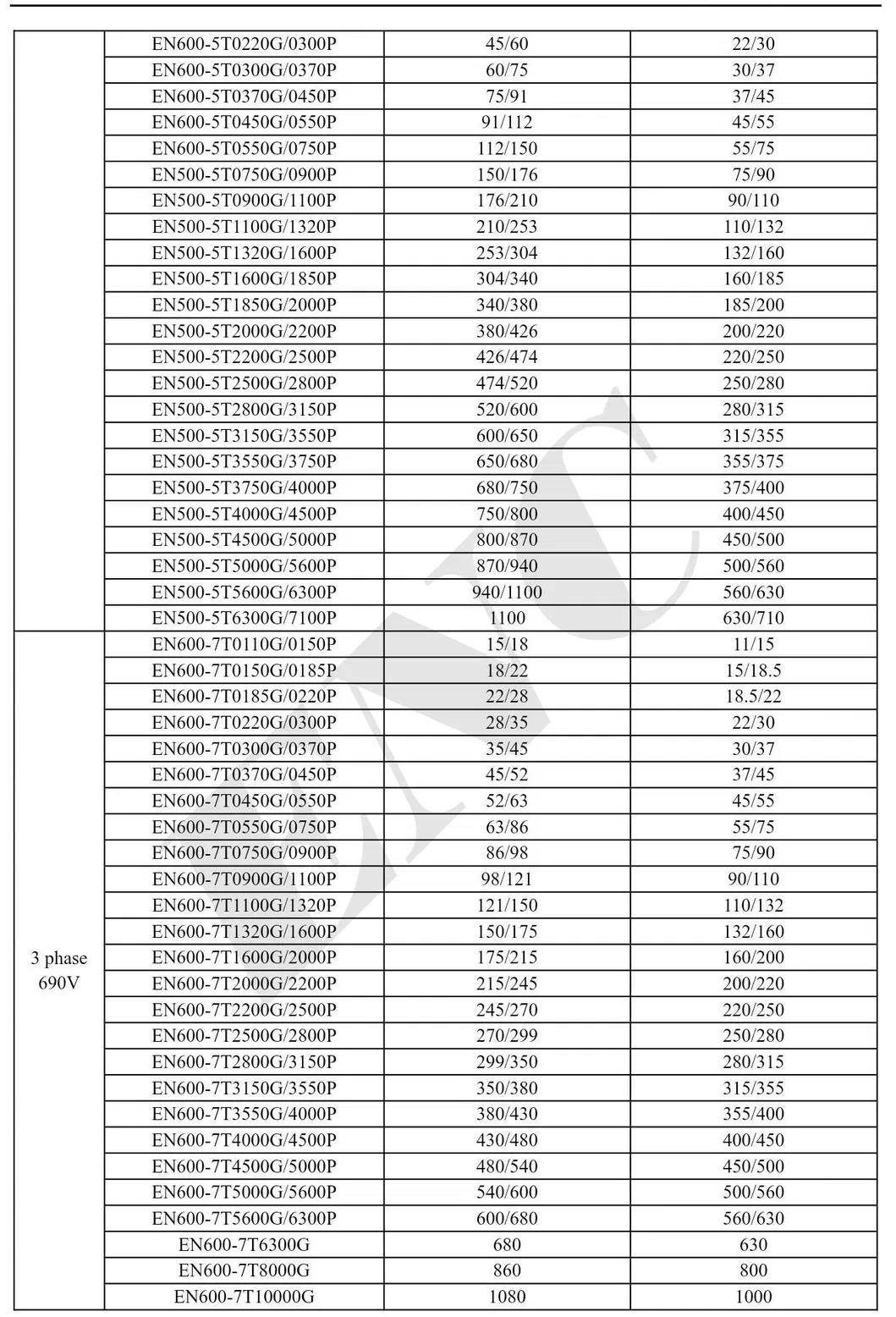
EN500/EN600 is widely applied across various industries including metalworking, plastic machinery, CNC machine tools, printing equipment, textile, printing and dyeing, paper making, municipal engineering, water supply projects, sewage treatment, refrigeration, cement, ceramics, chemical industry, shipbuilding, and mining.
When the load is off or a chain/belt breaks during normal work, this function ensures the frequency inverter stops immediately. The under-load protection point can be set according to specific requirements to automatically protect the equipment.
This function avoids frequent over-current alarms. When current exceeds the protection point, the system quickly limits it to protect equipment and prevent alarms caused by sudden loading or unloading.
The frequency inverter can limit torque within a set maximum value when commands exceed mechanical thresholds, protecting equipment while maximizing mechanical efficiency.





