Automation Drive En600 Series Low-Voltage VFD 380V-460V 160kw for Heavy Load

Still deciding? Get samples of $ !
Request Sample

Product Description

i

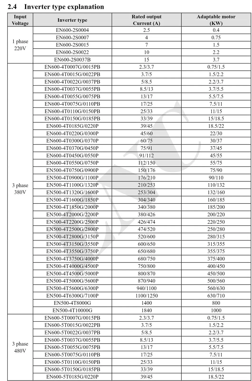
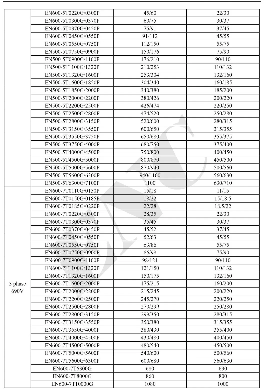
Basic Specifications

Model NO.
EN500-4T0900G/1100P
Principle of Work
V/F Control Transducer
Switch Mode
High Carrier Frequency PWM Control
Main Circuit Type
Voltage
Voltage of Power Supply
Low Voltage Variable-Frequency Drive
Link of Transformation
AC-DC-AC Variable-Frequency Drive
Function
Simple Type, Elevator Special, Textile Special, Constant Torque Universal Type, Tunnel Fans
HS Code
8504409999
Production Capacity
200, 000 PCS/Year

Product Overview

The EN500/EN600 series utilizes a 32-bit DSP hardware platform and advanced control algorithms. It supports PG closed-loop vector control and open-loop vector control (without PG), providing exceptional performance in both speed and torque vector modes.
Key Features:
  • Quick current limiting to prevent impact current.
  • High precision control and rapid response speed.
  • Excellent performance at low frequencies.
  • Intelligent detection and comprehensive protection systems.
  • Extensive networking and peripheral expansion (Relay, Analog, Terminal).
Typical Application Industry:
Applied to metalworking, plastic machinery, CNC machine tools, printing equipment, printing and dyeing, paper making, municipal engineering, water supply, and sewage treatment. It is also widely used in textile, refrigeration, cement, ceramics, chemical industry, and mining fields.

Technical Advantages

VFD Advantage 1
VFD Advantage 2
Under Load Protection:
In the event of a load loss or chain/belt breakage, this function ensures the frequency inverter stops immediately. Users can define specific under-load points to protect equipment automatically.
Under Load Protection
Rapid Current Limiting:
This feature prevents frequent over-current alarms. By quickly limiting current within protection points, it safeguards equipment during sudden load fluctuations.
Rapid Current Limiting
Torque Limit Function:
When commands exceed the machine's tolerance, the inverter limits torque to the set maximum, maximizing efficiency while preventing mechanical damage.
Torque Limit
Intelligent Keypad
VFD Keypad
📋

Detailed Data Sheets

Spec Sheet 1
Spec Sheet 2
Spec Sheet 3
Spec Sheet 4
Spec Sheet 5
Spec Sheet 6
?

Frequently Asked Questions

What control modes are supported by the EN500/EN600 series?
The series supports 32-bit DSP-based PG closed-loop vector control, open-loop vector control without PG, and V/F control modes.
How does the "Under Load Protection" function benefit my operation?
It automatically detects mechanical failures such as belt or chain breakages and stops the inverter immediately to prevent further damage or safety hazards.
Can this VFD be used in high-precision manufacturing?
Yes, thanks to its 32-bit DSP platform and advanced algorithms, it provides high precision control and fast response times suitable for CNC and high-end manufacturing.
What should I do if my equipment experiences sudden load changes?
The device features a "Rapid Current Limiting" function that automatically restricts current within safe limits to avoid frequent over-current alarms during sudden unloads or loads.
Is the system expandable for complex industrial needs?
Absolutely. It offers rich expansion capabilities including peripheral bus expansion, terminal expansion, relay expansion, and analog expansion.
What industries is this variable frequency drive typically applied to?
Common industries include metalworking, plastic machinery, textile, cement, paper making, sewage treatment, and water supply projects.

Related Products